证券主要定价原理
股票价值的多种形式,比如清算的价值、账面的价值、重置的价值、盈利的价值、成长的价值、不同所有者不同价值。不过,证券的主要定价原理仍然是其所对应的资产未来能够带来的现金流贴现的总和。
这里我们先来理解贴现的概念。大家都知道今天的100元一般比未来的100元更值钱,这就是货币的时间价值。因为未来货币可能会通货膨胀贬值,此外,我们放弃了今大获得100元用于消费,而选择用于投资,就是希望未来获得投资收益率。如果我们预期的投资收益率是每年10%,那么今天的100元在一年后的价值是110元。将一年后的110元,除以(1+贴现率)',这里贴现率取10%,还原成今天的价值就得到100元,这一-过程就是未来现金流贴现。如果是两年后获得110元,那么等同于今天的多少钱呢?等同于110/(1+10%)^2=90.9元。三年、四年以及之后的钱的现值依此类推。
债券定价公式
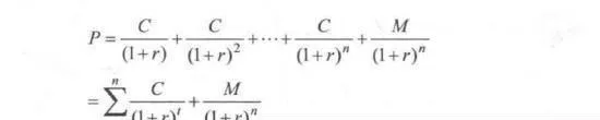
对于普通的按期付息的债券来说,其预期现金流收入有两个来源:到期日前定期支付的债券利息和到期日偿还的债券本金。其必要收益率也可参照可比债券确定。因此,对于一年付息一次的债券来说,价格决定公式为:
其中:C为每一期的债券利息,M为到期偿还的债券本金,r为贴现率,n为债券的期限
股票定价公式
债券的价值相对容易计算,毕竟期限、未来现金流都是确定的,但是:股票就因难了,一是我们不知道公司究竟能够持续经营多少年,虽然我们经常假设永续经营,二是公司未来每一期的现金流是不确定的,只能通过预测和假设。所以,理论上股票价值的决定公式为:

其中:D为各期公司现金流,r为贴现率。
零增长模式
为了能够计算股票的价值,人们把公司未来每一期的现金流假定为不变,是个常数,于是演化成零增长模型,该模型在现实中可以运用到微利润,行业能长期保持稳定,处于成熟阶段的公司的价值计算,多见于公共事业类型股票。零增长模型如下:

因为,D是永远一样的,通过数学上的等比数列推导,零增长模型又可写成:

如果某公司未米每年的净利润均为1元(这里假定公司未来现金流等同于净利润,后面章节将介绍它们实际并不完全等同,这里仅为了方便举例使用),贴现率或者称为股权的投资收益率要求为10%,则该公司的价值为1/10%=10元。;
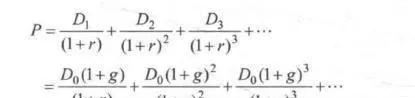
常数增长模型
零增长模型的运用过于狭窄,毕竟随着经济的发展,公司的未来现金流或者盈利一般都会不断增长,如果日后的盈利都按照一个固定的常数比例增长,则衍生出了常数增长模型。

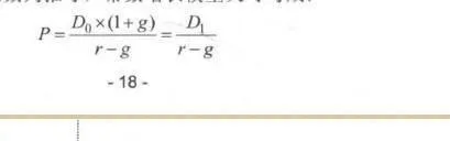
其中,D。为当前现金流,D为在Do基础上以固定比例(1+g)增长的未来第一.期现金流,D2. D3依次在前一期基础上以(1+g)速度增长,依此类推。 通过数学上的等比数列推导,常数增长模型又可写成:

值得注意的是,g不能大过r,事实上g的取值也不会太大,至少不会超过宏观经济增长的速度,否则增长到最后,全世界就完全被这-一个公司所占领。假设公司未来一期的净利润为1元,此后每年利润均按2%的速度增长,贴现率取10%,则公司价值为1/(10%-2%)=12.5元。常数增长模型也告诉我们,增长公司的价值比不增长公司价值要高。
二阶段增长模型
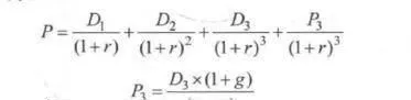
为了更加贴近现实,我们可以再假设得复杂些,公司的增长大多分为高增长阶段和低增长阶段:第一个阶段,公司较小,可供开阔的市场大,因而增长速度快:第二个阶段,由于市场规模有限,可供增长的资源也有限,公司增长速度放缓,随着行业或者经济的长期增长速度而增长,第一阶段仍可以由常数增长模型表示。那么一个高速增长期为3年的二阶段增长模型可以表示为:

其中,D、D2. D3为高增长第一阶段各期的现金流,P3为在D3基础上以固定常数增长各期的现金流贴现回第三年时的现值,还需继续除以(1+r)才能贴现问最初的现值。
上述简化的现金流贴现模型均表明股票的内在价值并不能够计算得和债券的内在价值-样精准,它含有各种假设条件,只能说股票的内在价值会在一个宽泛的区间内,而所录入的各种假设条件就看投资者对公司基本面的理解是否到位,是否尽可能地接近公司真实的发展情况,因而,股票估值某种程度被认为是科学和艺术的结合。
不能精准计算股票的内在价值并不意味着价值投资无用武之地。当一个公司的股票根据所掌握信息,内在价值被我们估计为6~10元,如果它的价格是3元,则可以认为很大概率上这只股票是被低估的,而如果它的价格是20元,则可以认为很大概率上这只股票被高估。内在价值是指导我们进行股票买卖的错,如果投资者不知道股票的内在价值,非常容易陷入胡乱买卖的境地。
贴现率确定
如果我们的钱存放银行,基本属于无风险投资,根据收益与风险匹配原则,银行一年期定期存款利率较低,大约3%,可以被认为是无风险的贴现率。如果我们的钱用于投资债券,根据债券的历史收益率水平,贴现率为6%左右。如果我们投资股票,根据股票长期的历史收益率水平,一般回报在10%左右,所以股权的贴现率应该为10%左右。公司为获得利润所承担的风险偏高,贴现率可以上调;风险偏低,则可下调。
内在价值与市场价格
科斯托兰尼是德国负有名的投资大师,他曾对经济与证券市场做了一个“主人与狗”的比喻,有一个男子带着狗在街上散步,像所有的狗--样,这狗先跑到前面,再回到主人身边。接着,又跑到前面,看到自己跑得太远,又再折回来。整个过程中,狗就这样反反复复。最后,他俩同时抵达终点,男子悠闲地走了一公里,而狗跑来跑去,走了四公里。主人就代表着经济,狗则是证券市场,长远看来,经济和证券市场的发展方向相同,但在过程中,却有可能选择完全相反的方向。
股票的价格与价值也如同主人与狗一样,如果你只看到价格,你的操.作将跟随着市场起伏而波动。股价短期波动毫无逻辑可言,不一定完全反映价值,贵的股票可以继续大涨变得越来越贵,便宜的股票仍然可以继续大幅下跌变得更加便宜,上述情况甚至能够维持相当长的一段时间。市场疯狂之时令人瞠目结舌,脱离了正常人类的一切常识和逻辑,它会吞没绝:大部分的投资者,令绝大部分在生活中智商、情商正常的人们甘心成为它的奴隶。但从长期看,价格终将反映出股票的价值。这也是为什么科斯托兰尼会在《一个投机者的告白》一书中提到他学开车的经验,他的驾驶教练说道:“只盯着方向盘的人,永远也学不会开车。”这就像我们投资股票,如果眼中只有每天波动的价格,就会跟着狗(股价)做折返跑,追高杀低,不仅赔了交易成本,而收益率也不会因此而有所提升。
为什么长期看股票价格必向价值回归?因为如果股票太贵,前几大股东(多为产业股东)就会纷纷减持股票,直到卖光,只需要花费套现所得的一小部分钱便可再造同类型公司。其他产业资本见该类型公司股票能够卖得如此之贵,就会纷纷创办该类公司加剧行业竞争,或者上市增加该类股票的供给。一些此前低买的精明投资者会因股价太高,股息收益率下降,股票长期回报下降的因素卖出股票。上市公司本身因为股票处于高估值也;会加大融资力度。这些因素都会增加流通中股票的供给,促使股价下降。相反,如果股票太便宜,识货的产业大股东会纷纷增持股票,因为物超所值,而其他产业资本也可能借机收购公司。股价便宜,公司业绩又不断增长,股息收益率会越来越高,股票会吸引越来越多的投资者购买。上述因素都会促使股价上涨。股票价格向价值回归是种客观规律,这种规律蕴含着巨大的力量,投资者不要试图与这种巨大的力量进行对抗。